0 引 言
随着现代科技的发展,电力电子装置以及非线性、冲击性负荷的广泛应用,对电能质量的污染越来越严重,其中电压凹陷、电压暂升和瞬时供电中断等暂态电能质量问题尤为明显,并已成为是影响诸多用电设备正常运行的最严重的动态电能质量问题。而计算机、微电子、通信等许多敏感用户对电能质量提出了很高的要求。由于计算机控制设备的大量使用,动态电能质量问题造成的损失日益受到重视。
动态电压恢复器(Dynamk:Voltage Restor-er,DVR)作为一种串联型电能质量调节器,采用基于电力电子器件的PWM逆变器结构,是解决电压凹陷问题的一种有效手段。DVR主要用来保护敏感负荷免遭来自电网的电压扰动尤其是电压凹陷的冲击,同时也应该能够补偿如电压谐波、不平衡等稳态电压质量问题。要想实现上述功能,首先要快速检测电压凹陷的起止时刻;其次要产生准确的补偿指令电压信号包括凹陷补偿指令信号和除电压基波分量以外的总畸变量补偿指令信号;此外应该避免引起自身“误动”的高频振荡、脉冲等瞬时干扰。因此,快速、准确地从含有扰动的电压信号中检测出电压凹陷的特征量是运行的前提条件。
目前对电压凹陷特征量的检测已有多种检测方法,如有效值计算方法、峰值电压法、基波分量法都只能用于检测电压凹陷的幅值;单相电压变换平均值法、瞬时电压dq分解法能同时检测电压凹陷的幅值和相位跳变,但无法检测电压凹陷的起止时刻;基于瞬时无功功率理论的dq0变换方法是目前DVR装置中常用的电压凹陷检测方法,但是该方法只适用于三相对称扰动,而且没有考虑电压凹陷时可能随之出现的相位跳变问题;由于实际的电压暂降多为单相短路故障所引起,对于单相短路故障,必须以单相电压为参考电压构造出一个虚拟三相系统,其原理不够简单明了,而且计算量比较大。现在广泛应用的时频分析方法可同时获得扰动信号的时域和频域信息,但算法复杂,而且实时性差。以上的多数检测方法需要通过低通滤波器来分离直流分量,而滤波器会带来延时。
这里将从Hilbert变换入手,结合后差分的方法,首先利用Hiber·t变换快速提取凹陷电压信号的幅值包络,然后在此基础上采用向后差分的方法,准确地定位电压凹陷发生的起止时刻,并在Matlab./Simulink下搭建这种方法的仿真模型,最后给出了仿真结果。
1 Hilbert变换检测法概述
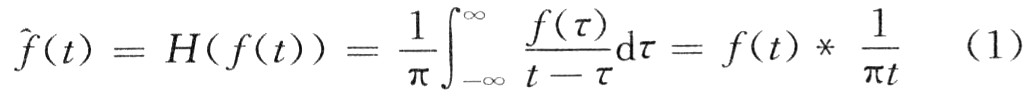
Hlibert变换巧妙F应用解析表达式中实部、虚部的正弦和余弦关系动态提取信号的幅值包络。对于任一连续时间信号f(t),其Hilbert变换^f(t)为:

Hilbert变换实际就是幅频特性为1、负频率成分做+90~相移、正频率成分做一90。相移的全通滤波器。^f(t)和f(t)是协调共轭,因此可以构造信号,f(t)的解析表达式z(t):

通过以上可知,Hilbert变换得到解析(复)信号的实信号是原信号本身,虚信号是原信号的Hilbert变换,解析信号剔除了实信号的负频率成分,同时不会造成任何信息损失,解析信号的模可以准确表示原信号的幅值包络。之后再对幅值包络信号进行后差分,得到如下的等式:
B(n)=A(n)一A(n-1) (5)
式中:n为采样数;A(n)为第n次采样的信号幅值;B(n)为近似的差分值,即信号连续采样点之间的变化值。如果信号为标准正弦信号,则差分所得的信号幅值很小。一旦信号中有扰动现象,那么差分所得信号幅值在那一时刻突然变化(增大或减小),从而可得到扰动信号的起止时刻。
2 基于Hilbert变换检测的基本原理
通过对电压信号进行Hilbet。t变换形成幅值包络线,通过后差分可以很容易获取电压信号凹陷位置,不仅能准确检测出电压凹陷发生的起止时刻,而且可以准确检测出电压幅值凹陷的深度,具有准确、实时的特点,从而检测出动态电压凹陷的特征量。基本步骤如下:
(1)确定目标电压函数。目标电压函数即敏感负荷侧电压经过DVR补偿后要达到的电压量。它是一个正弦函数,幅值为标准相电压幅值,这里设为

相角是由扰动前基波电压初相角、扰动引起的相位跳变角以及补偿策略共同确定的。ua′(t)为a相目标电压函数,扰动前a相电压的相位角为O,且采用完全电压补偿法,即将电压跌落补偿到跌落前的电压幅值和相位,使负载侧的电压发生与电压跌落前一致,要求相位不发生变化,因此可得:

(2)确定电压补偿量。目标电压函数确定后,通过Hilber-t变换,并将变换的值与系统侧电压经过Hilbert变换后的值相减,最后经过Hilbert反变换得出需要的电压补偿量。单相电压凹陷的检测原理如图1所示。

图1中:ua(t)表示系统侧a相电压;ua′(t)表示a相目标电压函数;uac(t)表示检测出的三相电压补偿量。
3 计算机仿真
在实际电力系统中,由于电压凹陷多由单相接地故障引起。因此基于以上的理论分析及检测的基本原理,利用Matlab中的Simulink对相电压为220 V电力系统工频运行时发生单相接地短路故障的电压情况进行建模仿真。
3.1 仿真结果及分析
当故障相电压短时下降,从而得到电压凹陷的波形如图2所示。

仿真信号幅值为

频率为50 Hz,采样频率为10 kHz,即每周期采样200点。从图2中可以看出,故障相电压在0.04 s时发生电压凹陷,凹陷幅度为20%,持续时间0.04 s。
图3和图4分别是用Hilbert检测法对电压凹陷的幅值检测结果和跳变起止时刻的检测结果。由仿真曲线可知,正常工频电压一旦有凹陷发生,其幅值就会发生改变。从而利用后差分就可准确地检测到电压凹陷的起止时刻。

结果表明,这种检测方法的幅值检测结果变化到稳态值的时间基本上为0 ms,因此这种检测方法对DVR而言具有非常好的动态响应性能,并且能实时地产生补偿指令电压(如图5所示).满足DVR补偿装置的实时性要求。

图6~图9为电压发生凹陷并伴随有谐波的检测结果及产生的补偿指令电压波形。

3.2 电压补偿分析
目前关于DVR补偿电压的计算方法主要有3种:第一种完全电压补偿法,要求补偿后电压完全恢复到凹陷前负载电压。该补偿方法的优点是能保证凹陷前后负载电压的连续性,对于那些对电压幅值和波形连续性要求很高的负荷如相控整流设备等,是最佳的补偿策略。该方法的缺点是输出的电压相量和功率不受控制第二种最小电压补偿法,要求将系统凹陷电压的幅值补偿至额定电压,相位与凹陷电压一致。该方法的优点是补偿电压幅值最小、计算简单。缺点是输出功率不受控制,而且负载电压有相角偏移。第三种最小能量法,要求补偿后电压幅值达到额定电压幅值。该方法的优点是输出的能量最小。缺点是输出电压比较大,而且负载电压也有相角偏移。
与前两种方法相比,最小能量法通过减少的有功输出,从而在一定的储能容量下,可以获得更长的凹陷补偿时间。在补偿电压凸起时,最小能量法也可以减少从系统吸收的有功,抑制或减少能量的倒灌。所谓能量倒灌,是指能量从系统向输送的过程。
为了减少输出能量长期以来人们对最小能量法进行了研究,从最简单的单相最小能量法发展到三相最小能量法。在单相中,可以用电压相量来描述系统的电压凹陷,并根据相量来实现各种控制目标的优化。然而三相系统中由于电压凹陷情况比较复杂,电压存在不对称以及相角跳变,用单相的电压相量很难确切描述三相电压凹陷情况,单相的补偿方法无法应用到三相系统中。
采用对称分量法对能量优化进行分析,直接将输出电压等效成正序补偿电压,没有考虑负序和零序电压的影响,理论计算与实际的输出有一定的误差。通过旋转三相参考电压的方法来提高的补偿范围,同时也考虑了负序和零序电压对输出电压的影响,并通过求取最优能量旋转角来减少输出的有功。无论是单相还是三相最小能量法,均没有考虑负载对相位跳变角的约束,导致补偿前后负载电压相位跳变角超出负载正常运行所能允许的范围。同时上述方法均将负载额定电压作为补偿目标,一旦电压凹陷的幅值超过的最大输出补偿电压,则无法补偿。针对以上缺点,结合负载正常运行对电压幅值和相角偏移的允许范围,利用最优补偿电压计算方法,可以扩大补偿范围、减少有功输出并能很好地抑制能量倒灌。
4 结 语
针对DVR的电压凹陷检测,首次采用基于Hill3ert变换的检测方法。理论上省去了滤波器,避免了滤波器带来的延时。在此来用这种检测方法对常见的电压扰动如电压凹陷和含有谐波的电压凹陷进行快速检测。从仿真试验结果可知,该方法能够快速对凹陷电压信号的幅值进行检测,能准确地检测出电压凹陷发生的起止时刻,并且运算量较小,适合实时检测的需要。